

Mathematics Digest





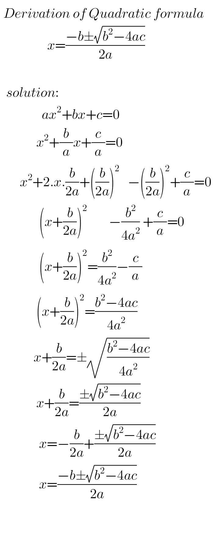
derivation of quadratic formula



Excercise 5.3 Q.01 Q.02
ARITHMETIC PROGRESSION
Solutions of Q 01 and Q.02
i)2x -5x= -3x ,ii) -x-3x= -4x এনেধৰণৰ অংকবোৰ কি দৰে সমাধান কৰিম বুজি লওঁ আহা।
$ Concept for solving these types of problems. To clear the concept of addition and subtraction of polynomials , download the following pdf